python 10

[프로그래머스] 쿼드압축 후 개수 세기(Python) - 재귀

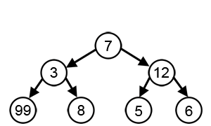
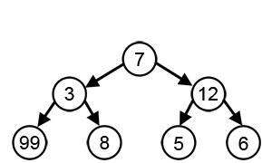
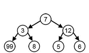
1. 문제 설명 0과 1로 이루어진 2n x 2n 크기의 2차원 정수 배열 arr이 있습니다. 당신은 이 arr을 쿼드 트리와 같은 방식으로 압축하고자 합니다. 구체적인 방식은 다음과 같습니다. 당신이 압축하고자 하는 특정 영역을 S라고 정의합니다. 만약 S 내부에 있는 모든 수가 같은 값이라면, S를 해당 수 하나로 압축시킵니다. 그렇지 않다면, S를 정확히 4개의 균일한 정사각형 영역(입출력 예를 참고해주시기 바랍니다.)으로 쪼갠 뒤, 각 정사각형 영역에 대해 같은 방식의 압축을 시도합니다. arr이 매개변수로 주어집니다. 위와 같은 방식으로 arr을 압축했을 때, 배열에 최종적으로 남는 0의 개수와 1의 개수를 배열에 담아서 return 하도록 solution 함수를 완성해주세요. 2. 제한사항 a..

Problem Solving 2021.03.30

[프로그래머스] 합승 택시 요금 (python) - 2021 KAKAO BLIND RECRUITMENT - 다익스트라

1. 문제 설명 [본 문제는 정확성과 효율성 테스트 각각 점수가 있는 문제입니다.] 밤늦게 귀가할 때 안전을 위해 항상 택시를 이용하던 무지는 최근 야근이 잦아져 택시를 더 많이 이용하게 되어 택시비를 아낄 수 있는 방법을 고민하고 있습니다. 무지는 자신이 택시를 이용할 때 동료인 어피치 역시 자신과 비슷한 방향으로 가는 택시를 종종 이용하는 것을 알게 되었습니다. 무지는 어피치와 귀가 방향이 비슷하여 택시 합승을 적절히 이용하면 택시요금을 얼마나 아낄 수 있을 지 계산해 보고 어피치에게 합승을 제안해 보려고 합니다. 위 예시 그림은 택시가 이동 가능한 반경에 있는 6개 지점 사이의 이동 가능한 택시노선과 예상요금을 보여주고 있습니다. 그림에서 A와 B 두 사람은 출발지점인 4번 지점에서 출발해서 택시를..

Problem Solving 2021.02.03

[프로그래머스] 메뉴 리뉴얼 (python) - 2021 KAKAO BLIND RECRUITMENT

1. 문제 설명 레스토랑을 운영하던 스카피는 코로나19로 인한 불경기를 극복하고자 메뉴를 새로 구성하려고 고민하고 있습니다. 기존에는 단품으로만 제공하던 메뉴를 조합해서 코스요리 형태로 재구성해서 새로운 메뉴를 제공하기로 결정했습니다. 어떤 단품메뉴들을 조합해서 코스요리 메뉴로 구성하면 좋을 지 고민하던 스카피는 이전에 각 손님들이 주문할 때 가장 많이 함께 주문한 단품메뉴들을 코스요리 메뉴로 구성하기로 했습니다. 단, 코스요리 메뉴는 최소 2가지 이상의 단품메뉴로 구성하려고 합니다. 또한, 최소 2명 이상의 손님으로부터 주문된 단품메뉴 조합에 대해서만 코스요리 메뉴 후보에 포함하기로 했습니다. 예를 들어, 손님 6명이 주문한 단품메뉴들의 조합이 다음과 같다면, (각 손님은 단품메뉴를 2개 이상 주문해야..

Problem Solving 2021.01.25

[프로그래머스] 위장 - 해시 (Swift/Python)

1. 문제 설명 스파이들은 매일 다른 옷을 조합하여 입어 자신을 위장합니다. 예를 들어 스파이가 가진 옷이 아래와 같고 오늘 스파이가 동그란 안경, 긴 코트, 파란색 티셔츠를 입었다면 다음날은 청바지를 추가로 입거나 동그란 안경 대신 검정 선글라스를 착용하거나 해야 합니다. 종류 이름 얼굴 동그란 안경, 검정 선글라스 상의 파란색 티셔츠 하의 청바지 겉옷 긴 코트 스파이가 가진 의상들이 담긴 2차원 배열 clothes가 주어질 때 서로 다른 옷의 조합의 수를 return 하도록 solution 함수를 작성해주세요. 2. 제한사항 clothes의 각 행은 [의상의 이름, 의상의 종류]로 이루어져 있습니다. 스파이가 가진 의상의 수는 1개 이상 30개 이하입니다. 같은 이름을 가진 의상은 존재하지 않습니다...

Problem Solving 2020.08.25

[프로그래머스] 구명보트 - 그리디(greedy) (python)

1. 문제 설명 무인도에 갇힌 사람들을 구명보트를 이용하여 구출하려고 합니다. 구명보트는 작아서 한 번에 최대 2명씩 밖에 탈 수 없고, 무게 제한도 있습니다. 예를 들어, 사람들의 몸무게가 [70kg, 50kg, 80kg, 50kg]이고 구명보트의 무게 제한이 100kg이라면 2번째 사람과 4번째 사람은 같이 탈 수 있지만 1번째 사람과 3번째 사람의 무게의 합은 150kg이므로 구명보트의 무게 제한을 초과하여 같이 탈 수 없습니다. 구명보트를 최대한 적게 사용하여 모든 사람을 구출하려고 합니다. 사람들의 몸무게를 담은 배열 people과 구명보트의 무게 제한 limit가 매개변수로 주어질 때, 모든 사람을 구출하기 위해 필요한 구명보트 개수의 최솟값을 return 하도록 solution 함수를 작성해..

Problem Solving 2020.06.13

[프로그래머스] n진수 게임 - ? (python)

1. 문제 설명 튜브가 활동하는 코딩 동아리에서는 전통적으로 해오는 게임이 있다. 이 게임은 여러 사람이 둥글게 앉아서 숫자를 하나씩 차례대로 말하는 게임인데, 규칙은 다음과 같다. 숫자를 0부터 시작해서 차례대로 말한다. 첫 번째 사람은 0, 두 번째 사람은 1, … 열 번째 사람은 9를 말한다. 10 이상의 숫자부터는 한 자리씩 끊어서 말한다. 즉 열한 번째 사람은 10의 첫 자리인 1, 열두 번째 사람은 둘째 자리인 0을 말한다. 이렇게 게임을 진행할 경우, 0, 1, 2, 3, 4, 5, 6, 7, 8, 9, 1, 0, 1, 1, 1, 2, 1, 3, 1, 4, … 순으로 숫자를 말하면 된다. 한편 코딩 동아리 일원들은 컴퓨터를 다루는 사람답게 이진수로 이 게임을 진행하기도 하는데, 이 경우에는 ..

Problem Solving 2020.06.09

[프로그래머스] 짝지어 제거하기 - 스택 (python)

1. 문제 설명 짝지어 제거하기는, 알파벳 소문자로 이루어진 문자열을 가지고 시작합니다. 먼저 문자열에서 같은 알파벳이 2개 붙어 있는 짝을 찾습니다. 그다음, 그 둘을 제거한 뒤, 앞뒤로 문자열을 이어 붙입니다. 이 과정을 반복해서 문자열을 모두 제거한다면 짝지어 제거하기가 종료됩니다. 문자열 S가 주어졌을 때, 짝지어 제거하기를 성공적으로 수행할 수 있는지 반환하는 함수를 완성해 주세요. 성공적으로 수행할 수 있으면 1을, 아닐 경우 0을 리턴해주면 됩니다. 예를 들어, 문자열 S = baabaa 라면 b aa baa → bb aa → aa → 의 순서로 문자열을 모두 제거할 수 있으므로 1을 반환합니다. 2. 제한 사항 문자열의 길이 : 1,000,000이하의 자연수 문자열은 모두 소문자로 이루어져..

Problem Solving 2020.06.09

[프로그래머스] 큰 수 만들기 - 그리디 greedy | 스택 Stack (python) (1)

1. 문제 설명 어떤 숫자에서 k개의 수를 제거했을 때 얻을 수 있는 가장 큰 숫자를 구하려 합니다. 예를 들어, 숫자 1924에서 수 두 개를 제거하면 [19, 12, 14, 92, 94, 24] 를 만들 수 있습니다. 이 중 가장 큰 숫자는 94 입니다. 문자열 형식으로 숫자 number와 제거할 수의 개수 k가 solution 함수의 매개변수로 주어집니다. number에서 k 개의 수를 제거했을 때 만들 수 있는 수 중 가장 큰 숫자를 문자열 형태로 return 하도록 solution 함수를 완성하세요. 2. 제한 조건 number는 1자리 이상, 1,000,000자리 이하인 숫자입니다. k는 1 이상 number의 자릿수 미만인 자연수입니다. 3. 입출력 예 number k return "1924..

Problem Solving 2020.05.16

[프로그래머스] 체육복 - 그리디 greedy (python)

1. 문제 설명 점심시간에 도둑이 들어, 일부 학생이 체육복을 도난당했습니다. 다행히 여벌 체육복이 있는 학생이 이들에게 체육복을 빌려주려 합니다. 학생들의 번호는 체격 순으로 매겨져 있어, 바로 앞번호의 학생이나 바로 뒷번호의 학생에게만 체육복을 빌려줄 수 있습니다. 예를 들어, 4번 학생은 3번 학생이나 5번 학생에게만 체육복을 빌려줄 수 있습니다. 체육복이 없으면 수업을 들을 수 없기 때문에 체육복을 적절히 빌려 최대한 많은 학생이 체육수업을 들어야 합니다. 전체 학생의 수 n, 체육복을 도난당한 학생들의 번호가 담긴 배열 lost, 여벌의 체육복을 가져온 학생들의 번호가 담긴 배열 reserve가 매개변수로 주어질 때, 체육수업을 들을 수 있는 학생의 최댓값을 return 하도록 solution ..

Problem Solving 2020.05.15

[프로그래머스] 완주하지 못한 선수 - 해시 (python)

1. 문제 설명 수많은 마라톤 선수들이 마라톤에 참여하였습니다. 단 한 명의 선수를 제외하고는 모든 선수가 마라톤을 완주하였습니다. 마라톤에 참여한 선수들의 이름이 담긴 배열 participant와 완주한 선수들의 이름이 담긴 배열 completion이 주어질 때, 완주하지 못한 선수의 이름을 return 하도록 solution 함수를 작성해주세요. 2. 제한 사항 마라톤 경기에 참여한 선수의 수는 1명 이상 100,000명 이하입니다. completion의 길이는 participant의 길이보다 1 작습니다. 참가자의 이름은 1개 이상 20개 이하의 알파벳 소문자로 이루어져 있습니다. 참가자 중에는 동명이인이 있을 수 있습니다. 3. 입출력 예 participant completion return [l..

Problem Solving 2020.05.14